vesperala Posted April 17, 2008 Report Posted April 17, 2008 logab=1/logba vei obţine de fiecare dată 1/2. Quote
Alexa Posted April 17, 2008 Report Posted April 17, 2008 mersi frumos si da se pare ca eu sunt singurul tau "client" pe aici dar nah ...sunt si eu mica Quote
Aprig Posted April 17, 2008 Report Posted April 17, 2008 corect: viete nu cred că exerciţiul la care lucrezi presupune aflarea rădăcinilor... mai bine postezi exerciţiul oricum, ecuaţia de gradul trei se rezolvă ghicind o rădăcină reală (nu e cazul, aici e sigur iraţională) sau cu metoda lui cardano. google îţi poate arăta formule de calcul. depăşeşte programa de liceu şi nu cred că îţi e necesară aici. Tocmai te-am prins :D Numerele iraţionale sînt reale. Probabil ai făcut o combinaţie între complexe şi imaginare Ocazie cu care observ că nu tre' să ştii multa matematica ca sa-i prinzi pe matematicieni cu mîţa-n ăăă, am un lapsus. Quote
vesperala Posted April 17, 2008 Report Posted April 17, 2008 Tocmai te-am prins :D Numerele iraţionale sînt reale. Probabil ai făcut o combinaţie între complexe şi imaginare Ocazie cu care observ că nu tre' să ştii multa matematica ca sa-i prinzi pe matematicieni cu mîţa-n ăăă, am un lapsus. pentru a ghici rădăcinile unei ecuaţii de gradul n (cu coeficienţi întregi) procedezi aşa: -rădăcinile întregi sunt printre divizorii termenului liber - rădăcinile raţionale au forma m/n, unde m este divizor al termenului liber şi n este divizor al coeficientului dominant -rădăcinile iraţionale , deşi sunt reale, nu pot fi ghicite prea des, şi nu ai criteriu . la asta se referea explicaţia mea: nu le poate ghici/intui. Quote
Aprig Posted April 17, 2008 Report Posted April 17, 2008 Aha. Deci nu e cazul nu se referea la reale, se referea la ghicind Numerele iraţionale nu sînt greu de ghicit. Avînd în vedere că sînt doar două, pi şi e, cred că din cîteva încercări merge. Quote
vesperala Posted April 17, 2008 Report Posted April 17, 2008 Avînd în vedere că sînt doar două, pi şi e, cred că din cîteva încercări merge. ştii la fel de bine ca mine că sunt "mai multe " decât cele raţionale. Quote
Aprig Posted April 17, 2008 Report Posted April 17, 2008 Da, dar restul nu apar în exerciţiile în care tre' să ghiceşti. Daca te pune să ghiceşti, de obicei e e. La problemele chiar complicate e 1/e. În fine, e clar ca glumesc. Cam asta-mi mai amintesc eu din liceu Quote
vesperala Posted April 17, 2008 Report Posted April 17, 2008 în principiu exerciţiile de acest gen (în care care rădăcinile unei ecuaţii nu sunt raţionale) nu necesită aflarea rădăcinilor. Se caută o altă cale. Quote
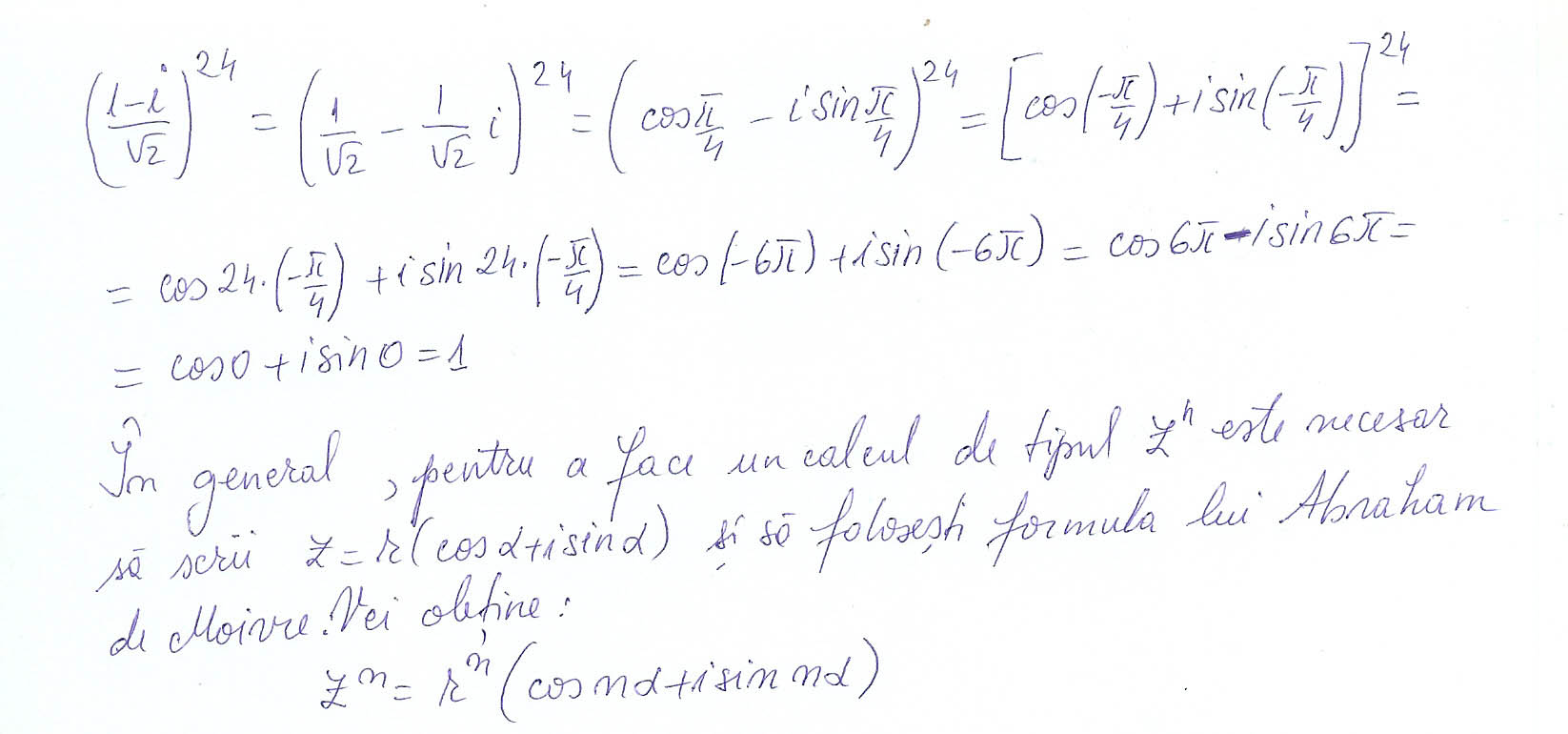
Floarea Soarelui Posted April 18, 2008 Report Posted April 18, 2008 se scrie sub formă trigonometrică...alexa.doc Quote
Alexa Posted April 19, 2008 Report Posted April 19, 2008 mult mai limpede saru'mana doamna profesoara Quote
NightShift Posted May 12, 2008 Report Posted May 12, 2008 O problema ce nu e tocmai de geometrie.... mai degraba de geometrie descriptiva. Descrieti corpul rezultat din rotirea unui cub in jurul axei principale (cea cu radical din 3). Quote
vesperala Posted May 12, 2008 Report Posted May 12, 2008 O problema ce nu e tocmai de geometrie.... mai degraba de geometrie descriptiva. Descrieti corpul rezultat din rotirea unui cub in jurul axei principale (cea cu radical din 3). ultimul emoticon arată a test, nu a rugăminte... mă testezi? Sper să fie pe înţeles, am încercat o redare intuitivă. Dacă e nevoie, detaliez calculele. ps: presupun că te refereai la diagonală, când spuneai axa cu radical din trei.. altminteri iau latura chiar radical din trei şi să vezi surprize...) Quote
NightShift Posted May 12, 2008 Report Posted May 12, 2008 (edited) Vesperala, nu o lua ca pe un test, ci mai degraba ca pe un exercitiu de vedere in spatiu. Imi cer scuze daca ti-am rapit prea mult timp cu el... Cel mai important este ca ai abordat corect problema si nu ai dat un raspuns pripit. Dreptele AA' si B'D sunt necoplanare, si (cum bine ai remarcat), miezul problemei se afla tocmai in aceasta zona. Ei, daca de aici o iei cu calcule,,, ... pe mine m-ai pierdut. Dar in geometria descriptiva exista o teorema conform careia: Daca ai doua drepte necoplanare din care una o consideri axa de rotatie pentru cealalta, vei obtine un hiperboloid de rotatie cu o panza. Repet: nu am avut pretentia sa cunosti fineturi de GD,, de aceea am si cerut doar o 'descriere' a corpului de revolutie rezultat., ... si sa stii ca esti primul om care nu a raspuns automat "doua conuri cu un cilindru intre ele". Eu iti dau 10, sa stii. edit: am uitat ceva. Inaltimile conurilor sunt 1/3 din diagonala cubului. ;) Edited May 12, 2008 by NightShift Quote
vesperala Posted May 12, 2008 Report Posted May 12, 2008 luai notă... adică.. edit: am uitat ceva. Inaltimile conurilor sunt 1/3 din diagonala cubului. ;) vezi...de fapt ăstea au fost calculele pe care nu le-am reluat aici şi care mi-au răpit timpul. nu e greu să rotesc o dreaptă, dar e greu să nu greşesc aducerea la acelaşi numitor... nici măcar nu glumesc Inaltimile conurilor sunt 1/3 din diagonala cubului. ;) se calculează imediat, eu am dat generatoarea conului şi raza bazei... obişnuinţa de a lăsa temă.. Quote
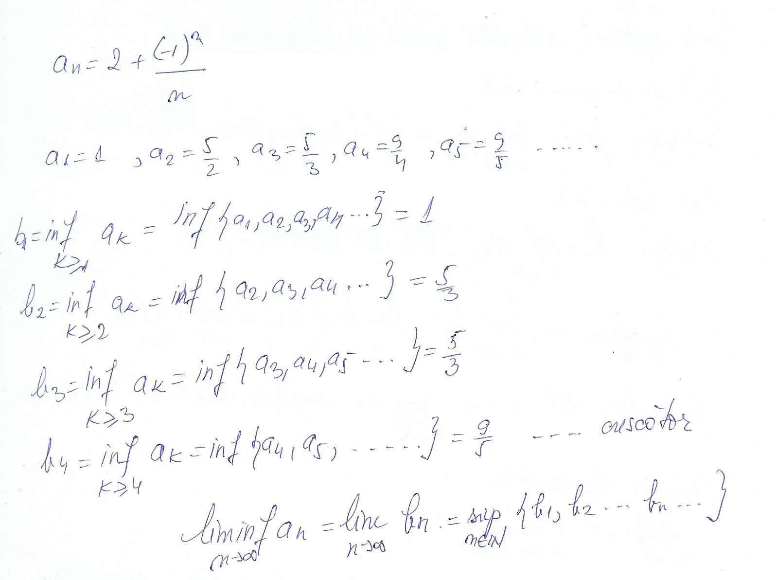
Asimetric Posted May 13, 2008 Report Posted May 13, 2008 (edited) o chestie micuta as avea si eu... Am o restanta pe semestrul trecut la analiza si m-am gandit ca poate ar fi bine sa incep, incetul cu incetul, sa recuperez. Am observat ca imi lipsesc (din diverse motive ) unele chestii din cursuri. De exemplu: cum calculez limita superioara si limita inferioara a unui sir, si la ce foloseste calcularea lor? (am fost la cursul ala, imi aduc aminte ca implica supremum si infimum, dar stiu ca nu prea s-a mai pomenit de astea in cursurile urmatoare - de limite zic) Cred ca e o chestiune minora fata de ceea ce reprezinta restul materiei, dar nu se stie niciodata. Poate exista acolo undeva o sansa infima ca un astfel de lucru sa ma ajute sa iau 5-ul la examen (pentru ca asta e tot ce vreau: la materiile de mate sa trec, iar la cele de informatica sa trec, dar cu mai mult de 5 - cat mai mult). Edited May 13, 2008 by Stelist_4_3v3r Quote
vesperala Posted May 13, 2008 Report Posted May 13, 2008 o chestie micuta as avea si eu... eu cred că vorbeşti despre limite de şiruri... cele două limite despre care spui , în cazul cînd sunt egale ne conduc la concluzia că şirul dat este convergent. deci se pot folosi pentru a stabili convergenţa şirurilor, deşi la drept vorbind se preferă alte criterii. am scanat o pagină din cartea prof. univ. Constantin P Niculescu, Fundamentele analizei matematice, apărută la Editura Academiei Române în 1996, referitoare la ceea ce doreşti tu. Şi am exemplificat un calcul de limită inferioară pentru un şir dat. În genul acestor limite de şiruri vei întâlni altădată la teoria mulţimilor reuniuni de intersecţii şi intersecţii de reuniuni... Eventual vei găsi la cercetarea operaţională maximul minimurilor şi minimul maximurilor prin probleme de programare liniară... Adică raţionamentul este de fapt mai important , el având aplicabilitate şi în altfel de contexte, nu doar în cazul şirurilor de numere reale. Quote
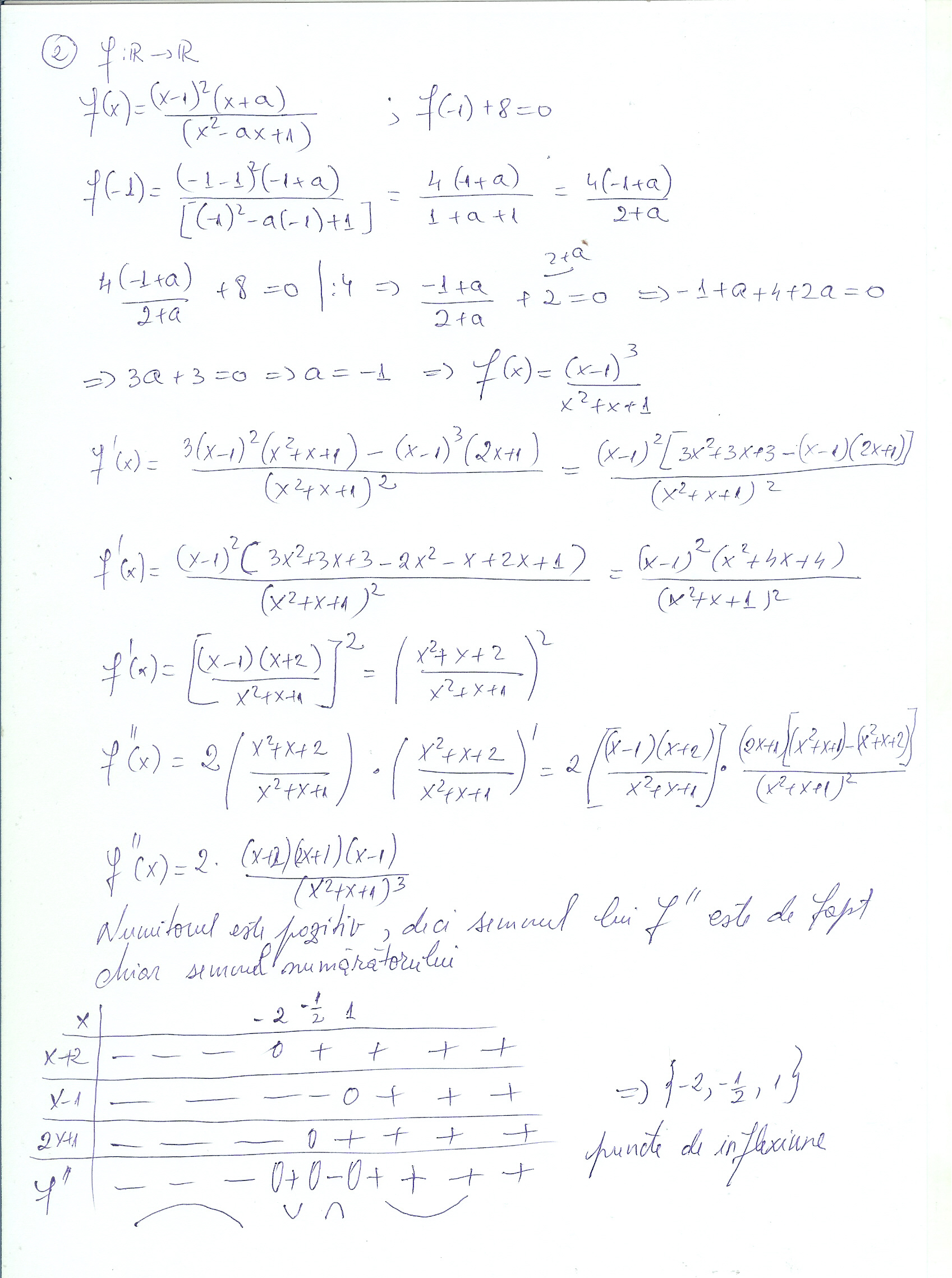
iustin Posted May 13, 2008 Author Report Posted May 13, 2008 (edited) 1. Sa se determine pc. de extrem si pc. de inflexiune ale functiei f:r -> r f(x)=X la a 5a + a*X la a 3a + 85X -2 stiind ca f''(-3) = 0 . ... mai urmeaza ... 2. Se considera f:R --> R , f(x) = (x-1)*(x-1)*(x+a)/(x*x-a*x+1) . Sa se det. pc. de inflexiune ale functiei , stiind ca f(-1) + 8 = 0 . 3. Se considera f:R ---> R , f(x) = a*x + (m-3)*arctgX : a) sa se det. a si m , a.i. sa verifice simultan conditiile f(1) = 2 si f''(-1) = 1. b) pt. a=1 si m=5 sa se [recizeze intervalele de monotonie ale functiei intervalele de convexitate, concavitate si pc. de inflexiune. 4. Se considera f:D --> R , f(x) = (x+1)/(a*x*x + b*x + 10) a,b eR (apartine R ) : a) sa se det f a.i. x= -3 este pc. de extrem , iar dreapta x=-5 este asimptota a functiei . b) pt a=1 si b=7 sa se traseze grafic. c) sa se det m eR pt care f(x) = [(x*x+a*x)/(x+1)] * e la puterea 1/x . Edited May 13, 2008 by iustin Quote
vesperala Posted May 13, 2008 Report Posted May 13, 2008 1. Sa se determine pc. de extrem si pc. de inflexiune ale functiei f:r -> r f(x)=X la a 5a + a*X la a 3a + 85X -2 stiind ca f''(-3) = 0 . ... mai urmeaza ... 2. Se considera f:R --> R , f(x) = (x-1)*(x-1)*(x+a)/(x*x-a*x+1) . Sa se det. pc. de inflexiune ale functiei , stiind ca f(-1) + 8 = 0 . f(-1) + 8 = 0 o rezolvi ca să îl afli pe a... apoi scrii formula lui f cu acel a aflat... derivezi de două ori faci semnul derivatei a doua. pe unde derivata a dou are semnul plus, funcţia e convexă... pe unde derivata a doua are semnul minus, funcţia e concavă... toate punctele în care schimbi de la concav la convex sunt puncte de inflexiune 3. Se considera f:R ---> R , f(x) = a*x + (m-3)*arctgX : a) sa se det. a si m , a.i. sa verifice simultan conditiile f(1) = 2 si f''(-1) = 1. b) pt. a=1 si m=5 sa se [recizeze intervalele de monotonie ale functiei intervalele de convexitate, concavitate si pc. de inflexiune. a) derivezi f de două ori şi rezolvi sistemul ca să găseşti a, m. cred că îţi vor da rezultatele exact valorile de la punctul b) b) faci semnul primei derivate când prima derivată e cu plus, funcţia e monoton crescătoare. când prima derivată e cu minus, funcţia e monoton descrescătoare. Quote
iustin Posted May 13, 2008 Author Report Posted May 13, 2008 multumesc ffffff mult abia ashtept sa ajung la sc sa le arat io lor Quote
Asimetric Posted May 14, 2008 Report Posted May 14, 2008 Multumesc vesperala. Am inteles, deci sunt destul de importante si limitele astea, pentru ca ajuta sa spui daca sirul e convergent sau nu. Eu am considerat ca nu era foarte important si nu am scris... Plus ca, la un curs care se tine la ora 8 dimineata era destul de greu pentru mine sa scriu tot. Quote
vesperala Posted May 14, 2008 Report Posted May 14, 2008 Scuze pentru întârziere, aseară nu era suficient timp să detaliez rezolvările.Sper că indicaţiile ţi-au fost de ajutor. 2. Se considera f:R --> R , f(x) = (x-1)*(x-1)*(x+a)/(x*x-a*x+1) . Sa se det. pc. de inflexiune ale functiei , stiind ca f(-1) + 8 = 0 . 3. Se considera f:R ---> R , f(x) = a*x + (m-3)*arctgX : a) sa se det. a si m , a.i. sa verifice simultan conditiile f(1) = 2 si f''(-1) = 1. b) pt. a=1 si m=5 sa se [recizeze intervalele de monotonie ale functiei intervalele de convexitate, concavitate si pc. de inflexiune. cred că ai o eroare de redactare: 4. Se considera f:D --> R , f(x) = (x+1)/(a*x*x + b*x + 10) a,b eR (apartine R ) : a) sa se det f a.i. x= -3 este pc. de extrem , iar dreapta x=-5 este asimptota a functiei . b) pt a=1 si b=7 sa se traseze grafic. c) sa se det m eR pt care f(x) = [(x*x+a*x)/(x+1)] * e la puterea 1/x . punctul c) are în mod sigur probleme de redactare, parametru m e apărut din senin iar funcţia raţională nu o pot identifica în nici un fel cu acea expresie... Quote
Recommended Posts
Join the conversation
You can post now and register later. If you have an account, sign in now to post with your account.